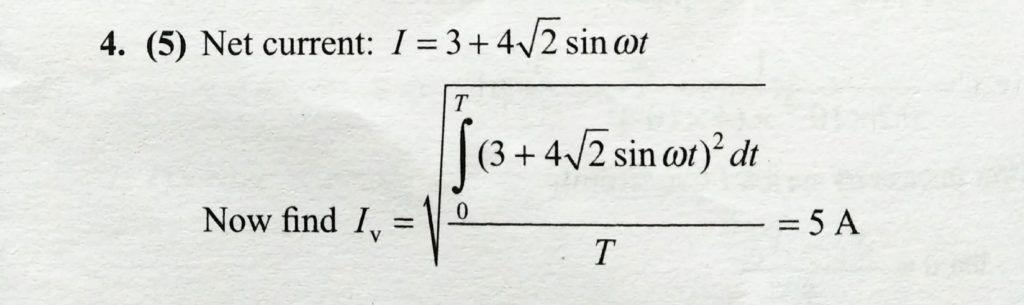
An ac ammeter is used to measure currnet in a circuit. When a given direct current passes through the circuit. The ac ammeter reads 3 A. When another alternating current passes through the circuit, the ac ammeter reads 4A. Then find the reading of this ammeter (inA), if dc and ac flow through the circuit simultaneously.

