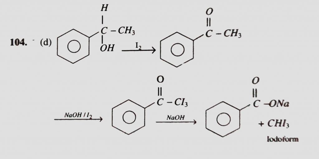
Among the following the one that gives positive iodoform test upon reaction with I2 and NaOH is Among the following the one that gives positive iodoform test upon reaction with I2 and NaOH is February 13, 2021 Category: Uncategorised (JEE Advanced Physics by BM Sharma + GMP Solutions) , Facebook Messenger WhatsApp Share this:TwitterFacebook Related