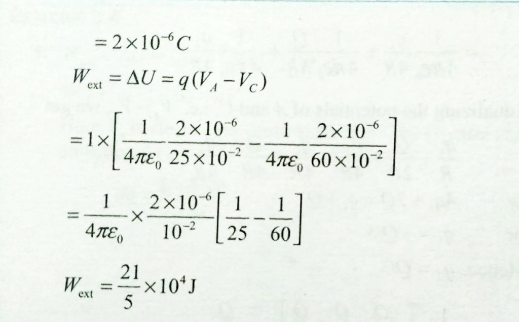
ABC is a right – angled triangle, where AB and BC are 25 cm and 60 cm, respectively. A metal sphere of 2 cm radius charged to a potential of 9×10^5 V is placed at B as in (Fig. 3.133). Find the amount of work done in carrying a positive charge of 1 coulomb from C to A.


