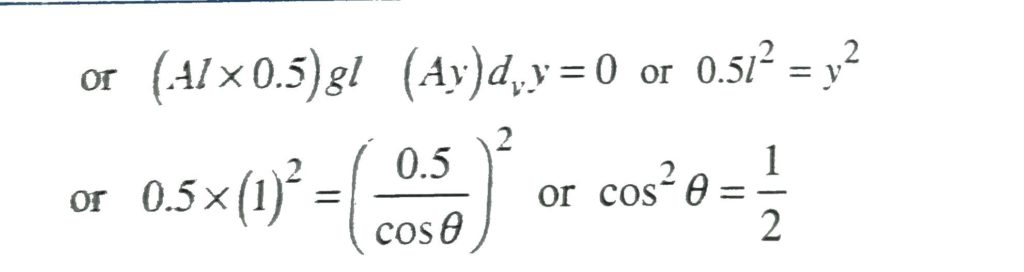
A wooden plank of length 1 m and uniform cross-section is hinged at one end to the bottom of a tank as shown. The tank is filled with water upto a height of 0.5 m. The specific gravity of the plank is 0.5. If the angle theta by the inclination of that of that plank makes with the vertical in the equilibrium position ( exclude the case theta = 0 ). Find the value of 1/ cos^2 theta.


