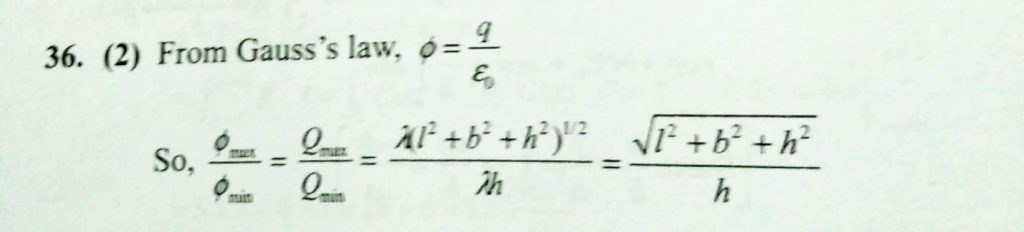
A wire of linear charge density λ passes through a cuboid of length l, breadth b and height h(lgtbgth) in such a manner that the flux through the cuboid is maximum. The position of the wire is now changed, so that the flux through the cuboid is minimum. The raito of maximum flux to minimum flux will be

