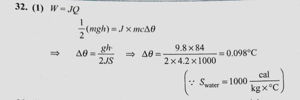
A water fall is 84 metres high. If half of the potential energy of the falling water converted to heat, the rise in temperature of water will be A water fall is 84 metres high. If half of the potential energy of the falling water converted to heat the rise in temperature of water will be October 23, 2020 Category: Uncategorised (JEE Advanced Physics by BM Sharma + GMP Solutions) , Facebook Messenger WhatsApp Share this:TwitterFacebook Related