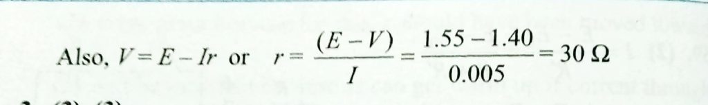
A voltmeter reads the potential difference across the terminals of an old battery as 1.40 V , while a potentiometer reads its voltage to be 1.55 V. The voltmeter resistance is 280 ohm. A voltmeter reads the potential difference across the terminals of an old battery as 1.40 V while a potentiometer reads its voltage to be 1.55 V. The voltmeter resistance is 280 ohm. November 15, 2020 Category: Uncategorised (JEE Advanced Physics by BM Sharma + GMP Solutions) , Facebook Messenger WhatsApp Share this:TwitterFacebook Related