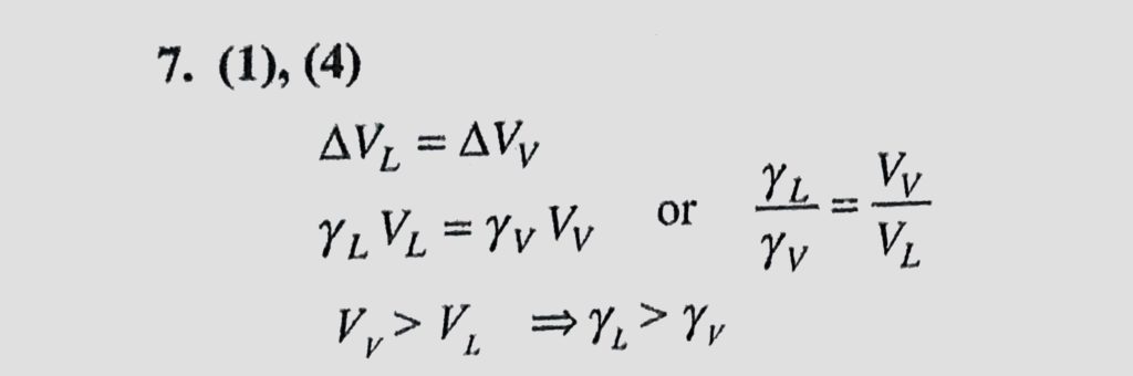
A vessel is partly filled with liquid. When the vessel is cooled to a lower temperature, the space in the vessel unoccupied by the liquid remains constant. Then the volume of the liquid A vessel is partly filled with liquid. When the vessel is cooled to a lower temperature the space in the vessel unoccupied by the liquid remains constant. Then the volume of the liquid October 24, 2020 Category: Uncategorised (JEE Advanced Physics by BM Sharma + GMP Solutions) , Facebook Messenger WhatsApp Share this:TwitterFacebook Related