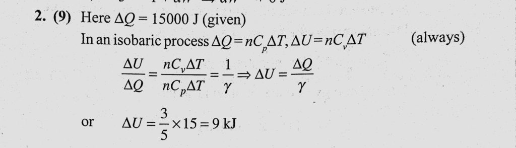
A vessel contains helium, which expands at constant pressure when 15 kJ of heat is supplied to it. The variation of the internal energy of the gas ( in kJ) will be A vessel contains helium which expands at constant pressure when 15 kJ of heat is supplied to it. The variation of the internal energy of the gas ( in kJ) will be October 29, 2020 Category: Uncategorised (JEE Advanced Physics by BM Sharma + GMP Solutions) , Facebook Messenger WhatsApp Share this:TwitterFacebook Related