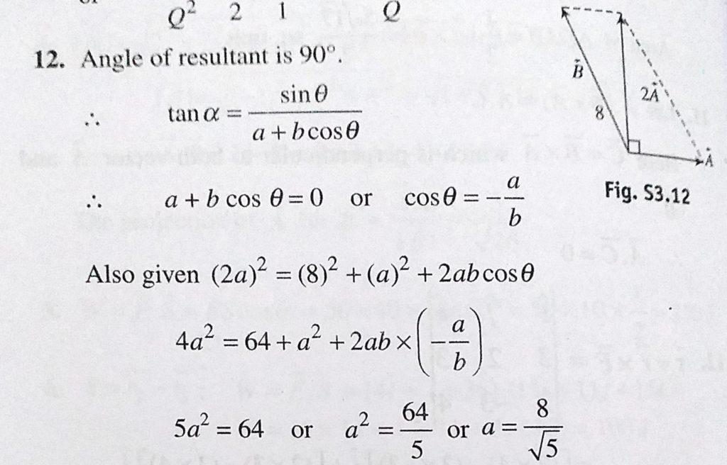
A vector B which has a magnitude 8.0 is added to a vector A which lies along the x-axis. The sum of these two vectors is a third vector which lie along the y axis and has a magnitude A vector B which has a magnitude 8.0 is added to a vector A which lies along the x-axis. The sum of these two vectors is a third vector which lie along the y axis and has a magnitude September 17, 2020 Category: Uncategorised (JEE Advanced Physics by BM Sharma + GMP Solutions) , Facebook Messenger WhatsApp Share this:TwitterFacebook Related