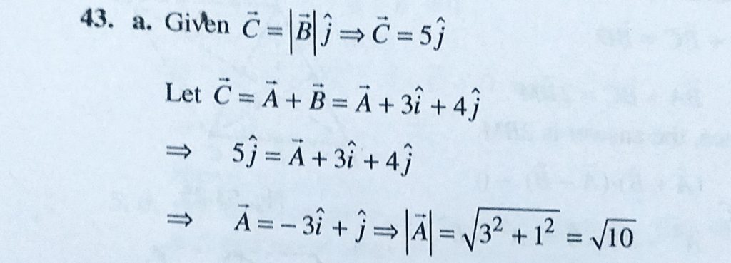
A vector A when added to the vector B = 3i + 4j yields a resultant vector that is in the positive y direction and has a magnitude equal to that of B. Find the magnitude of A A vector A when added to the vector B = 3i + 4j yields a resultant vector that is in the positive y direction and has a magnitude equal to that of B. Find the magnitude of A September 17, 2020 Category: Uncategorised (JEE Advanced Physics by BM Sharma + GMP Solutions) , Facebook Messenger WhatsApp Share this:TwitterFacebook Related