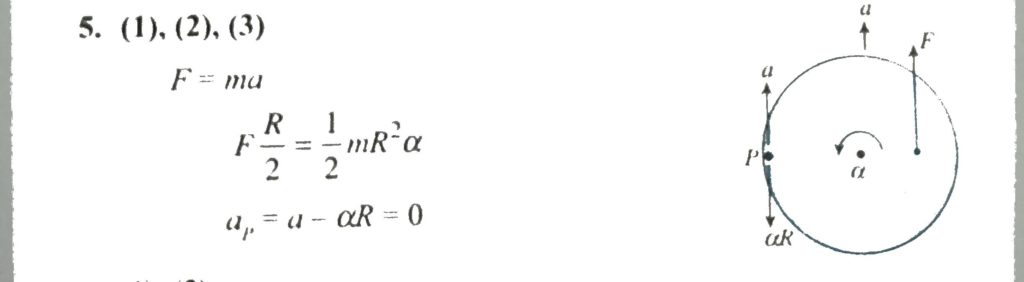
A uniform thin flat isolated disc is floating in space. It has radius R and mass m. A force F is applied to it at a distance d= 2 r from the centre in the y-direction. Treat this problem as two-dimensional. Just after the force is applied : A rigid body is in pure rotation that is undergoing fixed axis rotation. Then which of the following statements are true ? September 26, 2020 Category: Uncategorised (JEE Advanced Physics by BM Sharma + GMP Solutions) , Facebook Messenger WhatsApp Share this:TwitterFacebook Related