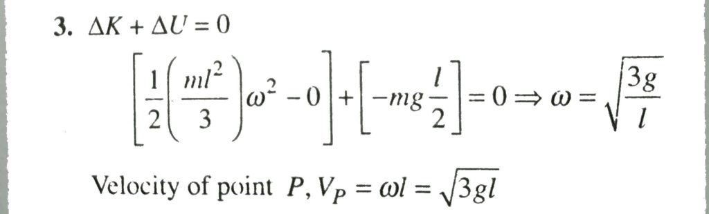
A uniform rod smoothly pivoted at one of its ends is released from rest. If it swings in vertical plane, find the maximum speed of the end P of the rod. A uniform rod smoothly pivoted at one of its ends is released from rest. If it swings in vertical plane find the maximum speed of the end P of the rod. September 29, 2020 Category: Uncategorised (JEE Advanced Physics by BM Sharma + GMP Solutions) , Facebook Messenger WhatsApp Share this:TwitterFacebook Related