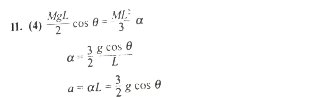
A uniform pole of length L and mass M is pivoted on the ground with a frictionless hinge. The pole makes an angle θ with the horizontal. The moment of inertia of the pole about one end is 3 1 ML 2 . If it starts falling from the position shown in the accompanying figure, the linear acceleration of the free end of the pole immediately after release would be :

