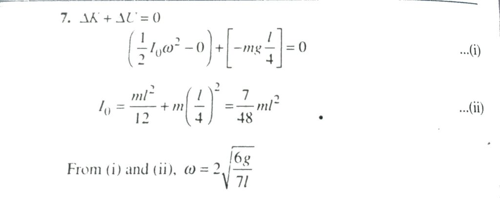
A uniform of length l is released from rest such that it rotates about a smooth pivot. Find the angular speed of the rod when it becomes vertical. A uniform of length l is released from rest such that it rotates about a smooth pivot. Find the angular speed of the rod when it becomes vertical. September 29, 2020 Category: Uncategorised (JEE Advanced Physics by BM Sharma + GMP Solutions) , Facebook Messenger WhatsApp Share this:TwitterFacebook Related