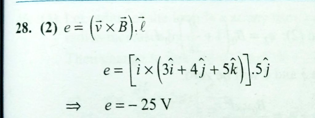
A uniform magnetic field exists in a region given by B = 3 i + 4 j +5 k. A rod of length 5 m along y – axis . Then the induced emf in the rod will be A uniform magnetic field exists in a region given by B = 3 i + 4 j +5 k. A rod of length 5 m along y - axis . Then the induced emf in the rod will be October 20, 2020 Category: Uncategorised (JEE Advanced Physics by BM Sharma + GMP Solutions) , Facebook Messenger WhatsApp Share this:TwitterFacebook Related