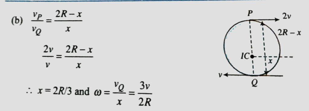
Find the position of instantaneous centre of rotation and angular velocity of the disc in the following cases as shown. Radius of disc in R in each case. Find the position of instantaneous centre of rotation and angular velocity of the disc in the following cases as shown. Radius of disc in R in each case. September 25, 2020 Category: Uncategorised (JEE Advanced Physics by BM Sharma + GMP Solutions) , Facebook Messenger WhatsApp Share this:TwitterFacebook Related