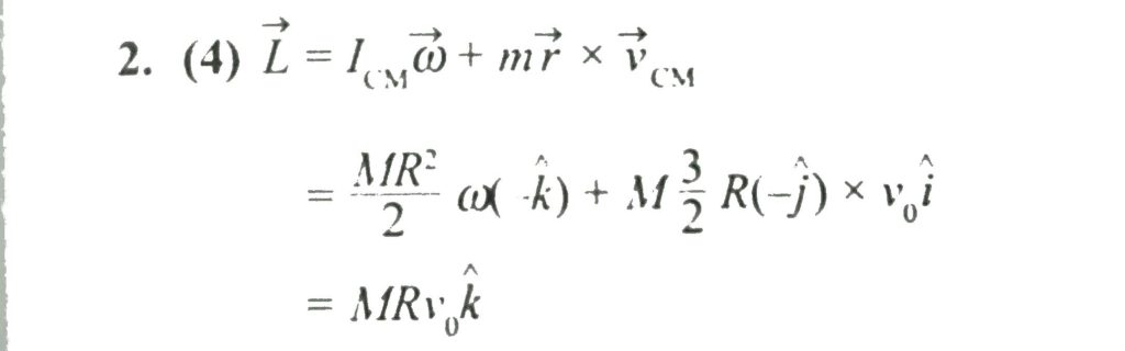
A uniform circular disc of mass M and radius R rolls without slipping on a horizontal surface. If the velocity of its centre is v0, then the total angular momentum of the disc about a fixed point P at a height 3/2 R above the centre C. A uniform circular disc of mass M and radius R rolls without slipping on a horizontal surface. If the velocity of its centre is v0 then the total angular momentum of the disc about a fixed point P at a height 3/2 R above the centre C. September 29, 2020 Category: Uncategorised (JEE Advanced Physics by BM Sharma + GMP Solutions) , Facebook Messenger WhatsApp Share this:TwitterFacebook Related