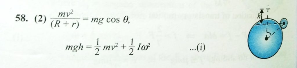
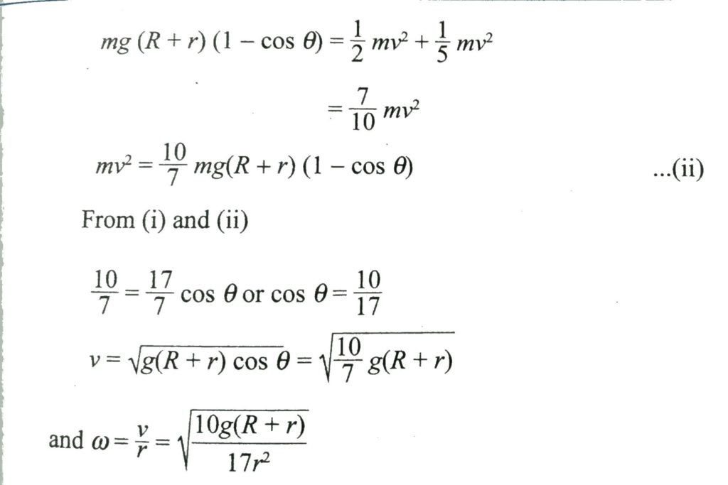
A uniform ball of radius r rolls without slipping down from the top of a sphere of radius R. The angular velocity of the ball when it breaks from the sphere is A uniform ball of radius r rolls without slipping down from the top of a sphere of radius R. The angular velocity of the ball when it breaks from the sphere is September 29, 2020 Category: Uncategorised (JEE Advanced Physics by BM Sharma + GMP Solutions) , Facebook Messenger WhatsApp Share this:TwitterFacebook Related