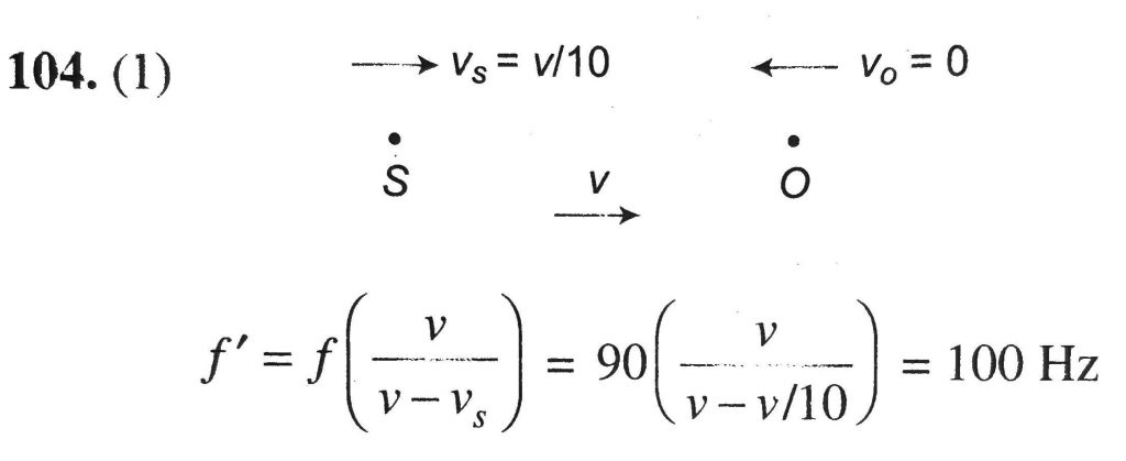
A tuning fork of frequency 90Hz is sounded and moved towards an observer with a speed equal to one – tenth the speed of sound. The note heard by the observer will have a frequency A tuning fork of frequency 90Hz is sounded and moved towards an observer with a speed equal to one - tenth the speed of sound. The note heard by the observer will have a frequency December 7, 2020 Category: Uncategorised (JEE Advanced Physics by BM Sharma + GMP Solutions) , Facebook Messenger WhatsApp Share this:TwitterFacebook Related