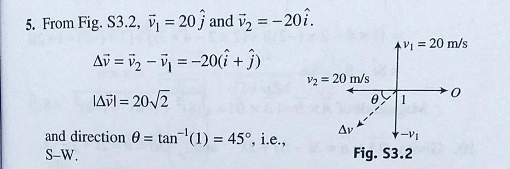
A truck travelling due north at 20 m/s turns west and travels at the same speed. Find the change in its velocity A truck travelling due north at 20 m/s turns west and travels at the same speed. Find the change in its velocity September 16, 2020 Category: Uncategorised (JEE Advanced Physics by BM Sharma + GMP Solutions) , Facebook Messenger WhatsApp Share this:TwitterFacebook Related