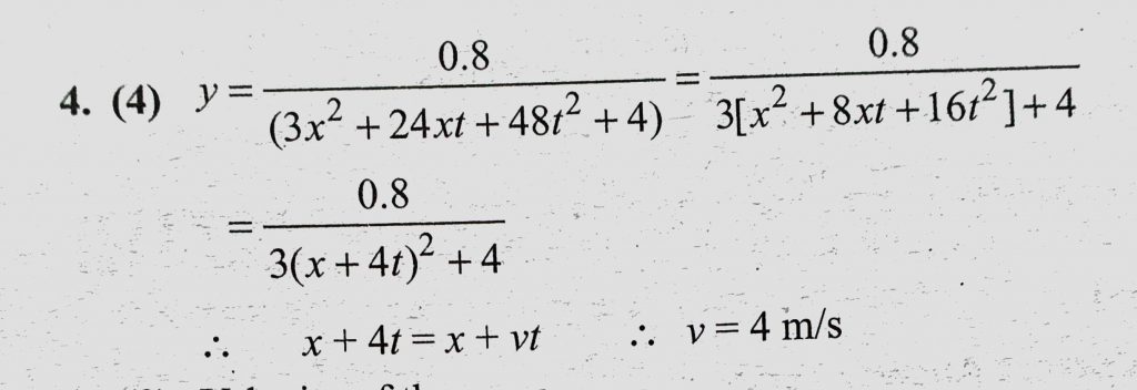
A travelling wave is given by y = 0.8 / (3x^2 + 24xt + 48t^2 + 4) where x and y are in metres and t is in seconds. Find the velocity in m/s. A travelling wave is given by y = 0.8 / (3x^2 + 24xt + 48t^2 + 4) where x and y are in metres and t is in seconds. Find the velocity in m/s. November 5, 2020 Category: Uncategorised (JEE Advanced Physics by BM Sharma + GMP Solutions) , Facebook Messenger WhatsApp Share this:TwitterFacebook Related