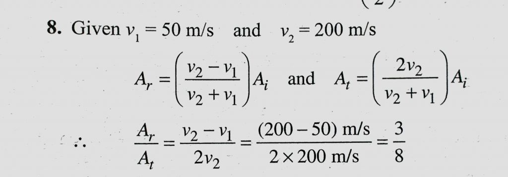
A travelling wave has speeds 50 m/s and 200 m/s in two different media A and B. Such a wave travelling through A, gets incident normally on a plane boundary, separating A travelling wave has speeds 50 m/s and 200 m/s in two different media A and B. Such a wave travelling through A gets incident normally on a plane boundary separating November 5, 2020 Category: Uncategorised (JEE Advanced Physics by BM Sharma + GMP Solutions) , Facebook Messenger WhatsApp Share this:TwitterFacebook Related