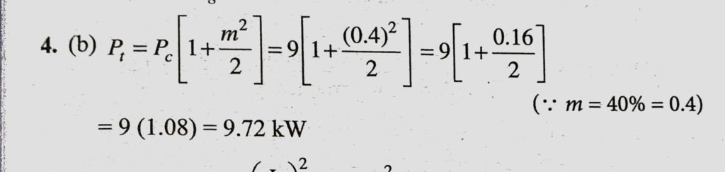
A transmitter supplies 9 kW to the aerial when unmodulated. The power radiated when modulated to 40% is A transmitter supplies 9 kW to the aerial when unmodulated. The power radiated when modulated to 40% is October 22, 2020 Category: Uncategorised (JEE Advanced Physics by BM Sharma + GMP Solutions) , Facebook Messenger WhatsApp Share this:TwitterFacebook Related