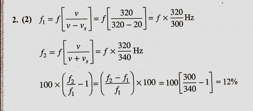
A train is moving on a straight track with speed 20 m/s. It is blowing its whistle at the frequency of 1000 Hz. The percentage change in the frequency heard by a person standing A train is moving on a straight track with speed 20 m/s. It is blowing its whistle at the frequency of 1000 Hz. The percentage change in the frequency heard by a person standing November 8, 2020 Category: Uncategorised (JEE Advanced Physics by BM Sharma + GMP Solutions) , Facebook Messenger WhatsApp Share this:TwitterFacebook Related