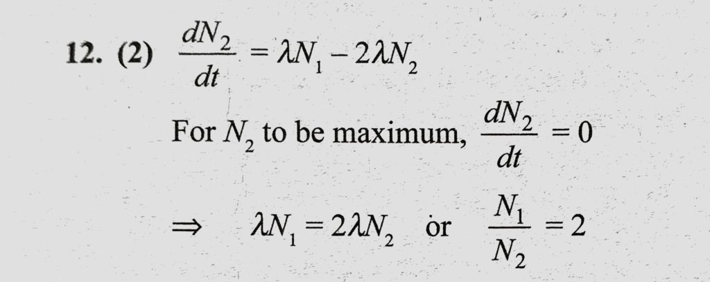
A to B to C The ratio of N1 to N2 when N2 is maximum is A to B to C The ratio of N1 to N2 when N2 is maximum is October 17, 2020 Category: Uncategorised (JEE Advanced Physics by BM Sharma + GMP Solutions) , Facebook Messenger WhatsApp Share this:TwitterFacebook Related