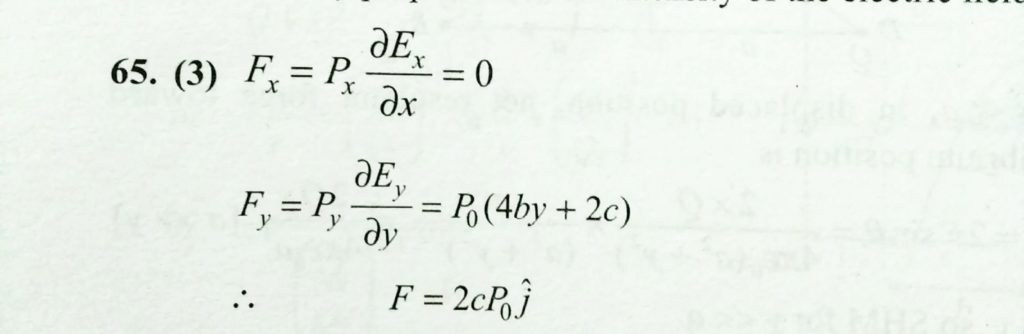
A tiny electric dipole of dipole moment p = p0j is placed at a point ( 1 , 0 ). There exists an electric field e = 2ax^2 i + ( 2 by^2 + 2 cy ) a tiny electric dipole of dipole moment p = p0j is placed at a point ( 1 , 0 ). There exists an electric field e = 2ax^2 i + ( 2 by^2 + 2 cy )

