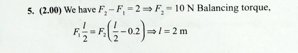
A Thin uniform rod AB of mass m = 1.0 kg moves translationally with acceleration a = 2.0 m/s^2 due to two antiparallel forces F1 and F2. The distance between the points at which these forces are applied is equal to d = 20 cm. Besides, it is known that F2 = 5.0 N. Find the length of the rod.

