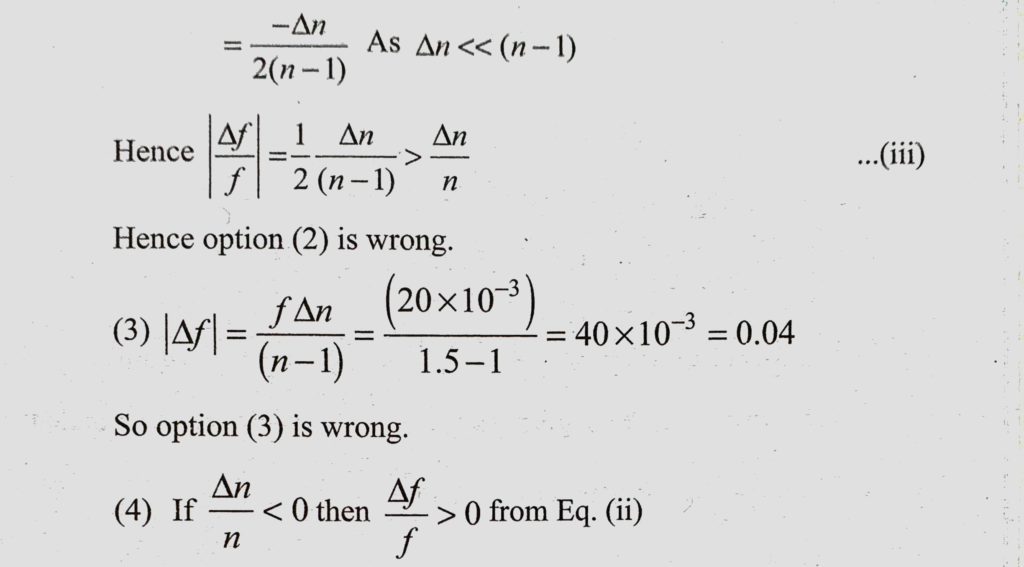
A thin convex lens is made of two materials with refractive indices n1 and n2 as shown in figure. The radius of curvature of the left and right spherical surfaces are equal. f is the focal length A thin convex lens is made of two materials with refractive indices n1 and n2 as shown in figure. The radius of curvature of the left and right spherical surfaces are equal. f is the focal length October 23, 2020 Category: Uncategorised (JEE Advanced Physics by BM Sharma + GMP Solutions) , Facebook Messenger WhatsApp Share this:TwitterFacebook Related