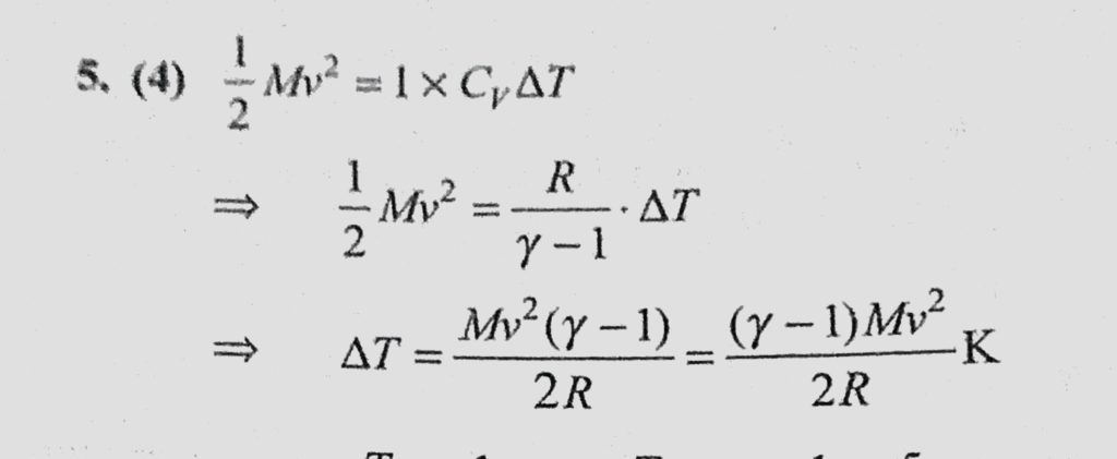
A thermally insulated vessel contains an ideal gas of molecular mass M and ratio of specific heats gama. It is moving with speed v and is suddenly brought to rest. Assuming A thermally insulated vessel contains an ideal gas of molecular mass M and ratio of specific heats gama. It is moving with speed v and is suddenly brought to rest. Assuming October 29, 2020 Category: Uncategorised (JEE Advanced Physics by BM Sharma + GMP Solutions) , Facebook Messenger WhatsApp Share this:TwitterFacebook Related