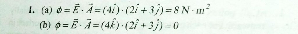
A surface has the area vector A = ( 2i +3j ) m^2. What is the flux of a uniform electric field through the area if the field is (a) E = 4i N/C and (b) E = 4K N/C ? A surface has the area vector A = ( 2i +3j ) m^2. What is the flux of a uniform electric field through the area if the field is (a) E = 4i N/C and (b) E = 4K N/C ? September 17, 2020 Category: Uncategorised (JEE Advanced Physics by BM Sharma + GMP Solutions) , Facebook Messenger WhatsApp Share this:TwitterFacebook Related