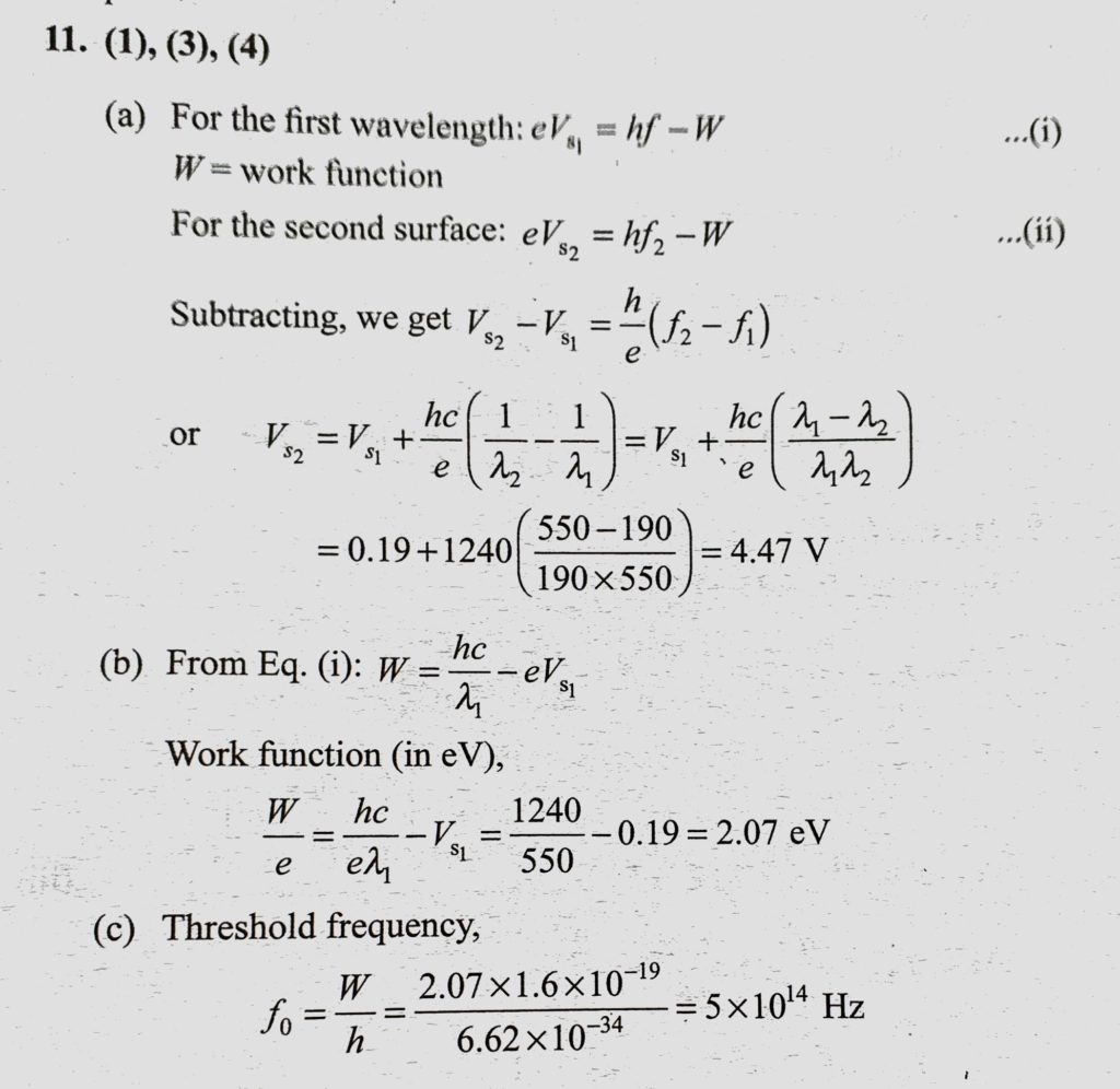
A surface has light of wavelength lemda 1 = 550 nm incident on it, causing the ejection of photoelectrons for which the stopping potential is Vs1 = 0.19 V. If the radiation of wavelength A surface has light of wavelength lemda 1 = 550 nm incident on it causing the ejection of photoelectrons for which the stopping potential is Vs1 = 0.19 V. If the radiation of wavelength October 14, 2020 Category: Uncategorised (JEE Advanced Physics by BM Sharma + GMP Solutions) , Facebook Messenger WhatsApp Share this:TwitterFacebook Related