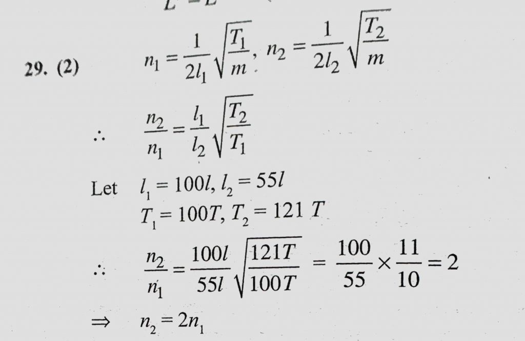
A stretched wire of some length under a tension is vibrating with its fundamental frequency. Its length is decreased by 45% and tension is increased by 21%. Now fundamental frequency A stretched wire of some length under a tension is vibrating with its fundamental frequency. Its length is decreased by 45% and tension is increased by 21%. Now fundamental frequency November 6, 2020 Category: Uncategorised (JEE Advanced Physics by BM Sharma + GMP Solutions) , Facebook Messenger WhatsApp Share this:TwitterFacebook Related