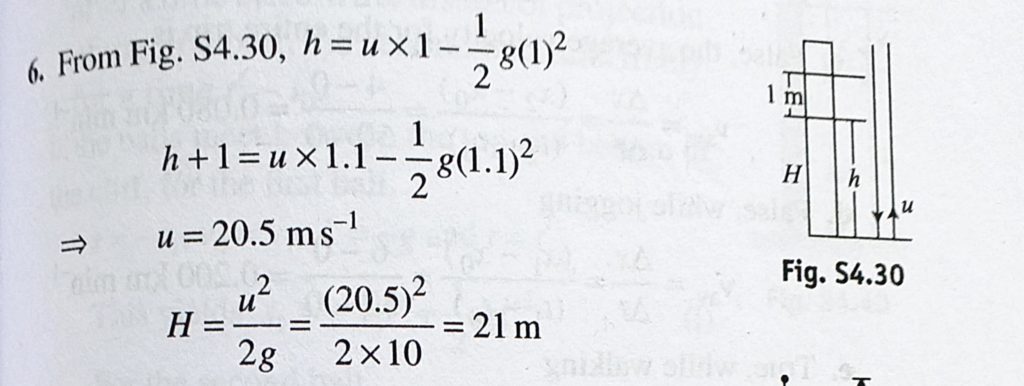
A steel ball is dropped from the roof of a building. A man standing in front of a 1 m high window in the building notes that the ball takes 0.1 s to the fall from the top to the bottom of the window. A steel ball is dropped from the roof of a building. A man standing in front of a 1 m high window in the building notes that the ball takes 0.1 s to the fall from the top to the bottom of the window. September 18, 2020 Category: Uncategorised (JEE Advanced Physics by BM Sharma + GMP Solutions) , Facebook Messenger WhatsApp Share this:TwitterFacebook Related