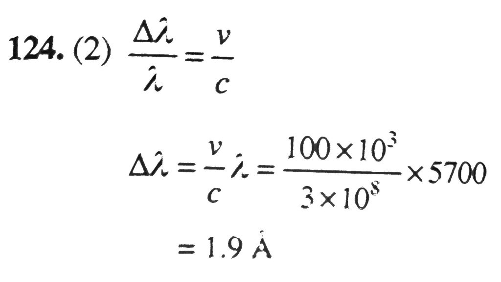
A star is moving away from the earth with a velocity of 100km/s. If the velocity of light is 3×10^8m/s then the shift of its spectral line of wavelength 5700A due to Doppler effect is A star is moving away from the earth with a velocity of 100km/s. If the velocity of light is 3×10^8m/s then the shift of its spectral line of wavelength 5700A due to Doppler effect is December 7, 2020 Category: Uncategorised (JEE Advanced Physics by BM Sharma + GMP Solutions) , Facebook Messenger WhatsApp Share this:TwitterFacebook Related