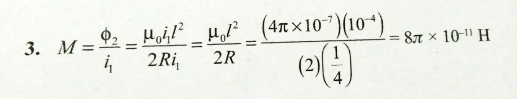
A square loop of side l = 1 cm is placed at the centre of a circular loop of radius R = 0.25 m as shown in figure. Find the mutual inductance between the circular loop and square loop. A square loop of side l = 1 cm is placed at the centre of a circular loop of radius R = 0.25 m as shown in figure. Find the mutual inductance between the circular loop and square loop. October 21, 2020 Category: Uncategorised (JEE Advanced Physics by BM Sharma + GMP Solutions) , Facebook Messenger WhatsApp Share this:TwitterFacebook Related