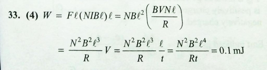
A square loop of area 2.5 x 10 ^-3 m^2 and having 100 turns with a total resistance of 100 ohm is moved out of a uniform magnetic field of 0.40 T in 1 s with a constant speed. Then the work done in pulling the loop is An equilateral triangular loop ADC having some resistance is pulled with a constant velocity v out of a uniform magnetic field directed into the paper (figure). At time t=0 side DC of the loop is at edge of the magnetic field. The induced current (i) versus time (t) graph will be as October 20, 2020 Category: Uncategorised (JEE Advanced Physics by BM Sharma + GMP Solutions) , Facebook Messenger WhatsApp Share this:TwitterFacebook Related