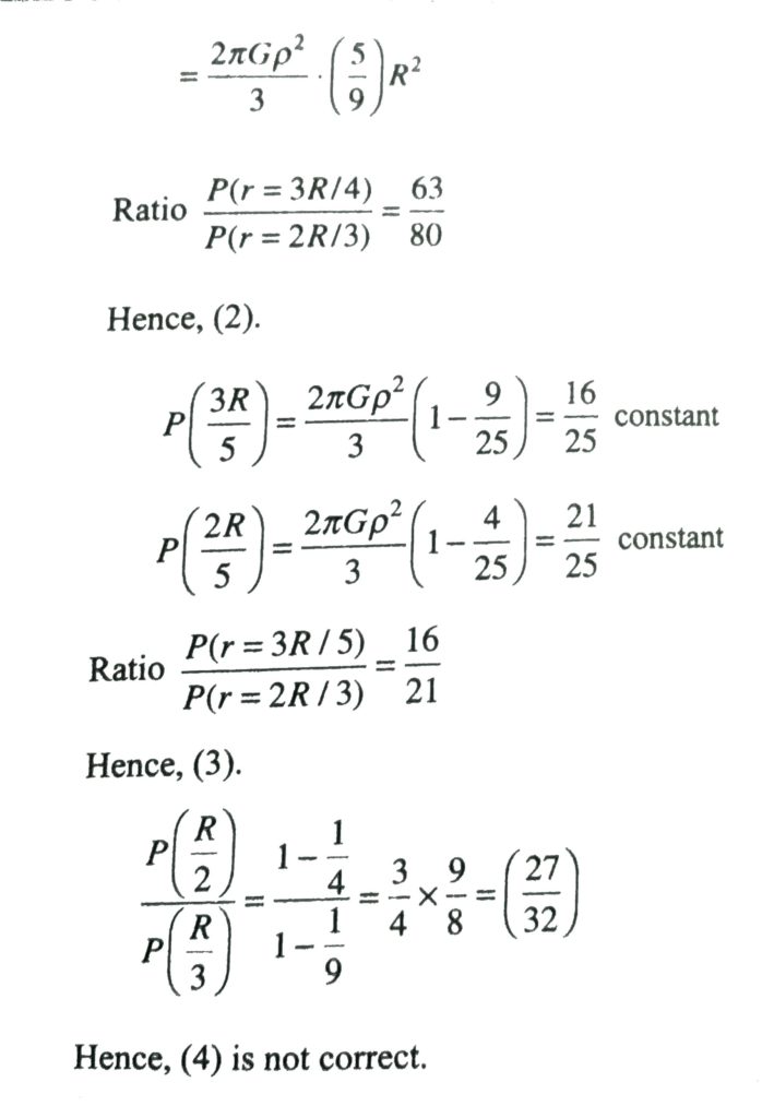
A spherical body of radius R consists of a fluid of constant density and is in equilibrium under its own gravity. If P ( r ) is the pressure at r ( r < R), then the correct option(s) is (are) A spherical body of radius R consists of a fluid of constant density and is in equilibrium under its own gravity. If P ( r ) is the pressure at r ( r < R) then the correct option(s) is (are) October 6, 2020 Category: Uncategorised (JEE Advanced Physics by BM Sharma + GMP Solutions) , Facebook Messenger WhatsApp Share this:TwitterFacebook Related