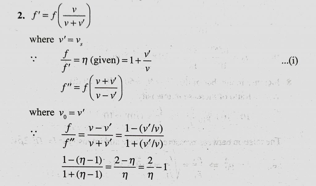
A source moves away from an observer with a certain speed, and the ratio of actual to the apparent frequency as heard by the observer in n. If the two approach each other with the same A source moves away from an observer with a certain speed and the ratio of actual to the apparent frequency as heard by the observer in n. If the two approach each other with the same November 7, 2020 Category: Uncategorised (JEE Advanced Physics by BM Sharma + GMP Solutions) , Facebook Messenger WhatsApp Share this:TwitterFacebook Related