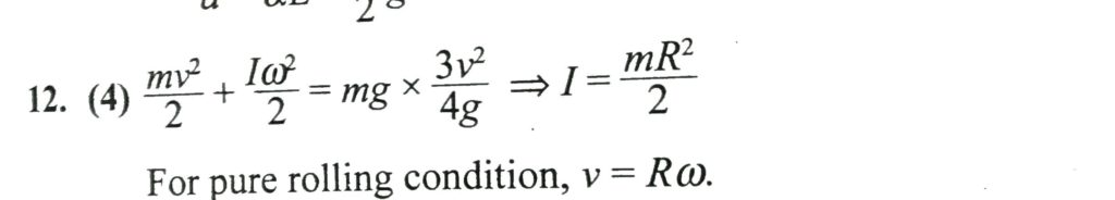
A small object of uniform density rolls up a curved surface with an initial velocity v. It reaches up to a maximum height of 3 v^2/4g w.r.t. the initial position. The object is A small object of uniform density rolls up a curved surface with an initial velocity v. It reaches up to a maximum height of 3 v^2/4g w.r.t. the initial position. The object is September 29, 2020 Category: Uncategorised (JEE Advanced Physics by BM Sharma + GMP Solutions) , Facebook Messenger WhatsApp Share this:TwitterFacebook Related