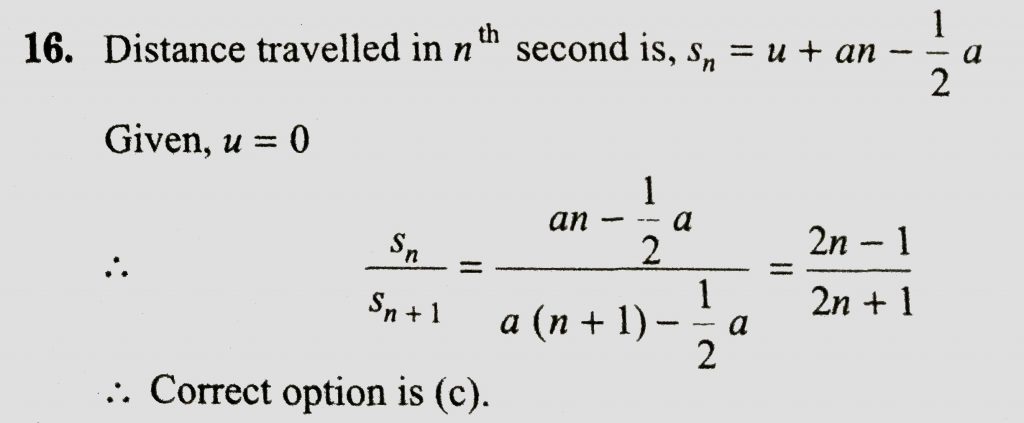
A small block sides without friction down an inclined plane starting from rest. Let Sn be the distance traveled from t=n-1 to t = n. Then, Sn/Sn+1 is A small block sides without friction down an inclined plane starting from rest. Let Sn be the distance traveled from t=n-1 to t = n. Then Sn/Sn+1 is February 13, 2021 Category: Uncategorised (JEE Advanced Physics by BM Sharma + GMP Solutions) , Facebook Messenger WhatsApp Share this:TwitterFacebook Related