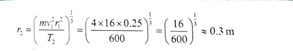
A small block of mass 4 kg is attached to a cord passing through in a horizontal frictionless surface. The block is originally revolving in a circle of radius 0.5 m about the hole with a tangential velocity of 4 m/s. The cord is then pulled slowely from below shortening the radius of the circle in which the block revolves. The breaking strength of the cord is 600 N. What will be the radius of the circle when the cord breaks?


