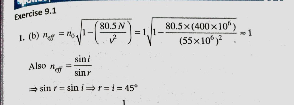
A sky wave with a frequency 55 MHz is incident on D-region of earth’s atmosphere at 45. The angle of refraction is (electron density for D-region is 400 electron/cm^3) A sky wave with a frequency 55 MHz is incident on D-region of earth's atmosphere at 45. The angle of refraction is (electron density for D-region is 400 electron/cm^3) October 22, 2020 Category: Uncategorised (JEE Advanced Physics by BM Sharma + GMP Solutions) , Facebook Messenger WhatsApp Share this:TwitterFacebook Related