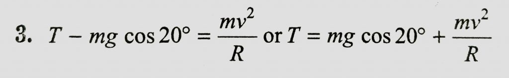
A simple pendulum with a bob of mass m swings with an angular amplitude of 40 degree. When its angular displacement is 20 degree, the tension in the string is greater than mg cos 20 A simple pendulum with a bob of mass m swings with an angular amplitude of 40 degree. When its angular displacement is 20 degree the tension in the string is greater than mg cos 20. February 14, 2021 Category: Uncategorised (JEE Advanced Physics by BM Sharma + GMP Solutions) , Facebook Messenger WhatsApp Share this:TwitterFacebook Related