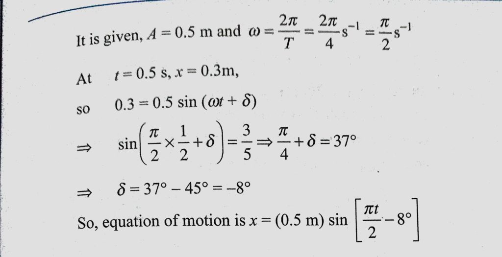
A simple harmonic motion along the x-axis has the following properties: amplitude = 0.5 m, the time to go from one extreme position to other is 2 s and x = 0.3 m at t = 0.5 s. The general A simple harmonic motion along the x-axis has the following properties: amplitude = 0.5 m the time to go from one extreme position to other is 2 s and x = 0.3 m at t = 0.5 s. The general October 30, 2020 Category: Uncategorised (JEE Advanced Physics by BM Sharma + GMP Solutions) , Facebook Messenger WhatsApp Share this:TwitterFacebook Related