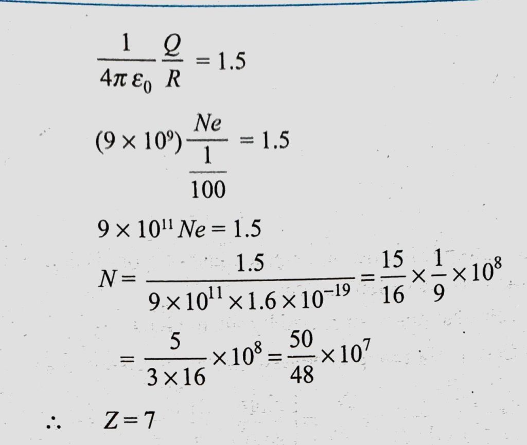
A silver sphere of radius 1 cm and work function 4.7 eV is suspended from an insulating thread in free-space. It is under continuous illumination of 200 nm wavelength light. As photoelectron A silver sphere of radius 1 cm and work function 4.7 eV is suspended from an insulating thread in free-space. It is under continuous illumination of 200 nm wavelength light. As photoelectron October 15, 2020 Category: Uncategorised (JEE Advanced Physics by BM Sharma + GMP Solutions) , Facebook Messenger WhatsApp Share this:TwitterFacebook Related