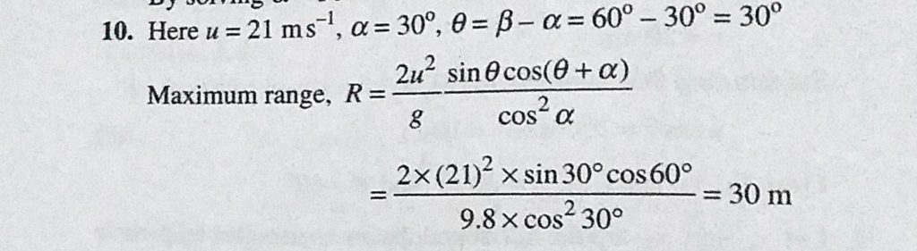
A shell is fired from a gun from the bottom of a hill along its slope. The slope of the hill is alpha = 30 and the angle of the barrel to the horizontal beta = 60. The initial velocity v of the shell is 21 m/s A staircase contains three steps each 10 cm high and 20 cm wide. What should be the minimum horizontal velocity of a ball rolling off the uppermost plane so as to hit directly the lowest plane? September 21, 2020 Category: Uncategorised (JEE Advanced Physics by BM Sharma + GMP Solutions) , Facebook Messenger WhatsApp Share this:TwitterFacebook Related