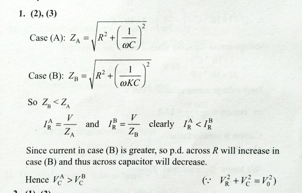
A series RC circuit is connected to AC voltage source. Consider two cases; (A) when C is without a dielectric medium and (B) when C is filled with dielectric of constant 4. The current I_R through the resistor and voltage V_c across the capacitor are compared in the two cases. Which of the following is/are true? .

