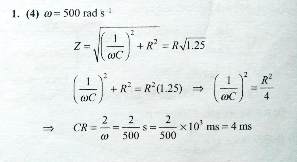
A series R – C combination is connected to an ac voltage of angular frequency omega = 500 rad/s. If the impedance of the R – C circuit is R root 1.25 , the time constant ( in milisecond ) of the circuit is A series R - C combination is connected to an ac voltage of angular frequency omega = 500 rad/s. If the impedance of the R - C circuit is R root 1.25 the time constant ( in milisecond ) of the circuit is October 28, 2020 Category: Uncategorised (JEE Advanced Physics by BM Sharma + GMP Solutions) , Facebook Messenger WhatsApp Share this:TwitterFacebook Related