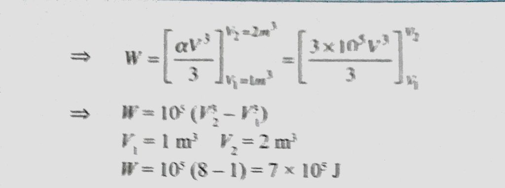
A sample of ideal gas is expanded to twice its original volume of 1 m^3 in a quasi-static process for which P = alpha V^2 with alpha = 3 * 10^5 Pa/m^6 as shown in the given figure. A sample of ideal gas is expanded to twice its original volume of 1 m^3 in a quasi-static process for which P = alpha V^2 with alpha = 3 * 10^5 Pa/m^6 as shown in the given figure. October 29, 2020 Category: Uncategorised (JEE Advanced Physics by BM Sharma + GMP Solutions) , Facebook Messenger WhatsApp Share this:TwitterFacebook Related